|
2017年齐齐哈尔大学硕士研究生拟录取名单已经颁布,录取的同学就美美得了,但是没有录取的同学也不要灰心,还有调剂,更多调剂信息点击这里查看哟:调剂信息汇总页来袭!(已更新)!
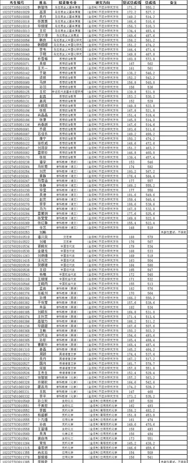
黑龙江考研网小编整理2017年齐齐哈尔大学硕士研究生拟录取名单,报考该院校的考生可以进行查看。
各位考生:
依据教导部相关告诉精力,现将我校2017年硕士研究生一志愿复试成绩及拟录取考生名单予以公示(我校会计专硕复试线为178分)。

名单数目较多,小编就不一一截图了,如需要查看详情,可以点击“阅读原文”进行下载~
往期出色文章推荐
⊙中公放福利!9块9夜猫班开课了!
⊙这样做考研政治稳拿80分!
⊙长春理工大学17年考研第二波调剂!你还在等什么
⊙见招拆招,复试尴尬这么做!
⊙ 哪一种研究生专业报考公务员拥有优势
每周群视频!老师和你一起来学习!
群地址:320198258,学习基本停不下来!
回复“考研复试”立刻预约复试指导吧!
回复“开学季”免费获取2018考研英语网课!
研途漫漫,小编陪你一起过,有问题同窗们能够在给小编留言哦~或者拨打我们的电话13329412043~小编会第一时间为大家解答的~
|